Bienvenidos Blog Ingenieria de Sistemas

Proceso de Acreditacion ARCUSUR


Estadistica Estudiantil y Cobertura Riohacha


Estadistica Estudiantil y Cobertura Maicao




Inscritos Admitidos Matriculados 2016-2020




Desercion Estudiantil 2016-2020



Comparativo Desercion




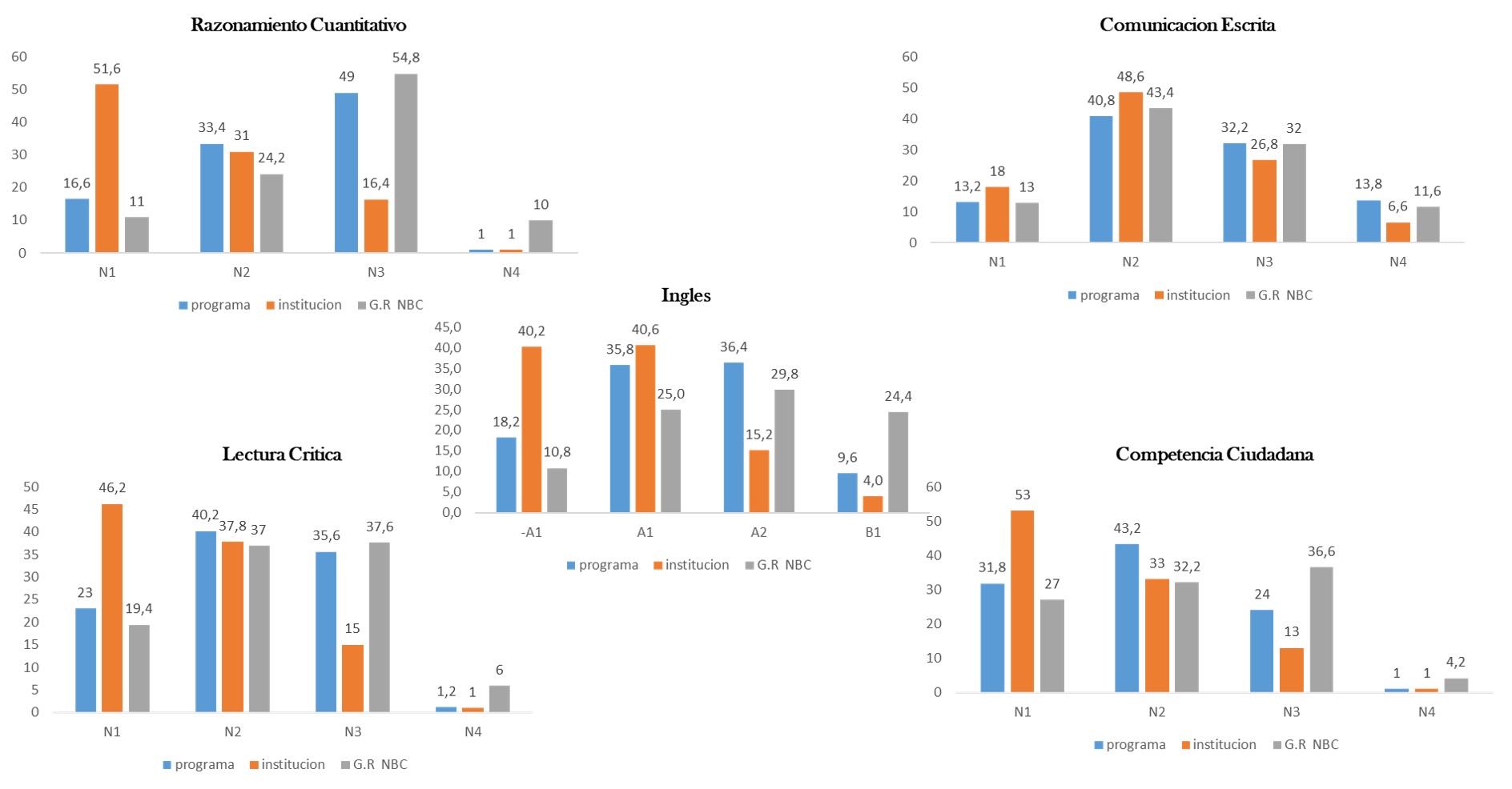
Niveles de DesempeƱo




Promedio de Estudiates por encima de la Media Nacional



Disciplinas deportiva


Promocion Socioeconomica


Servicios de Salud


Disciplinas Culturales


Desarrollo Humano